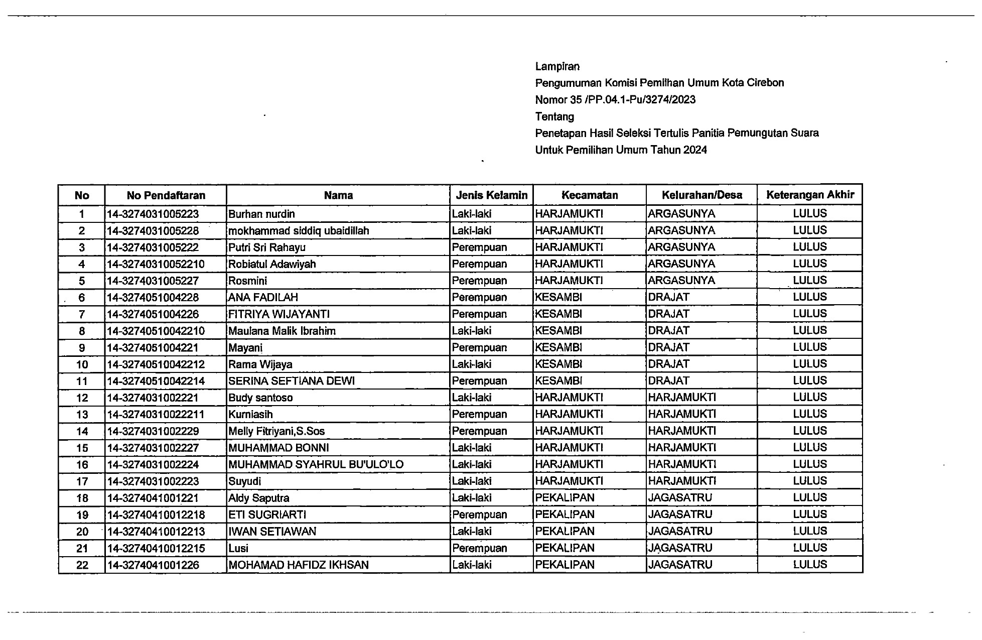
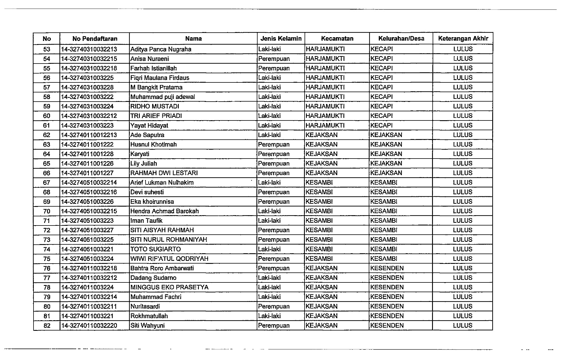
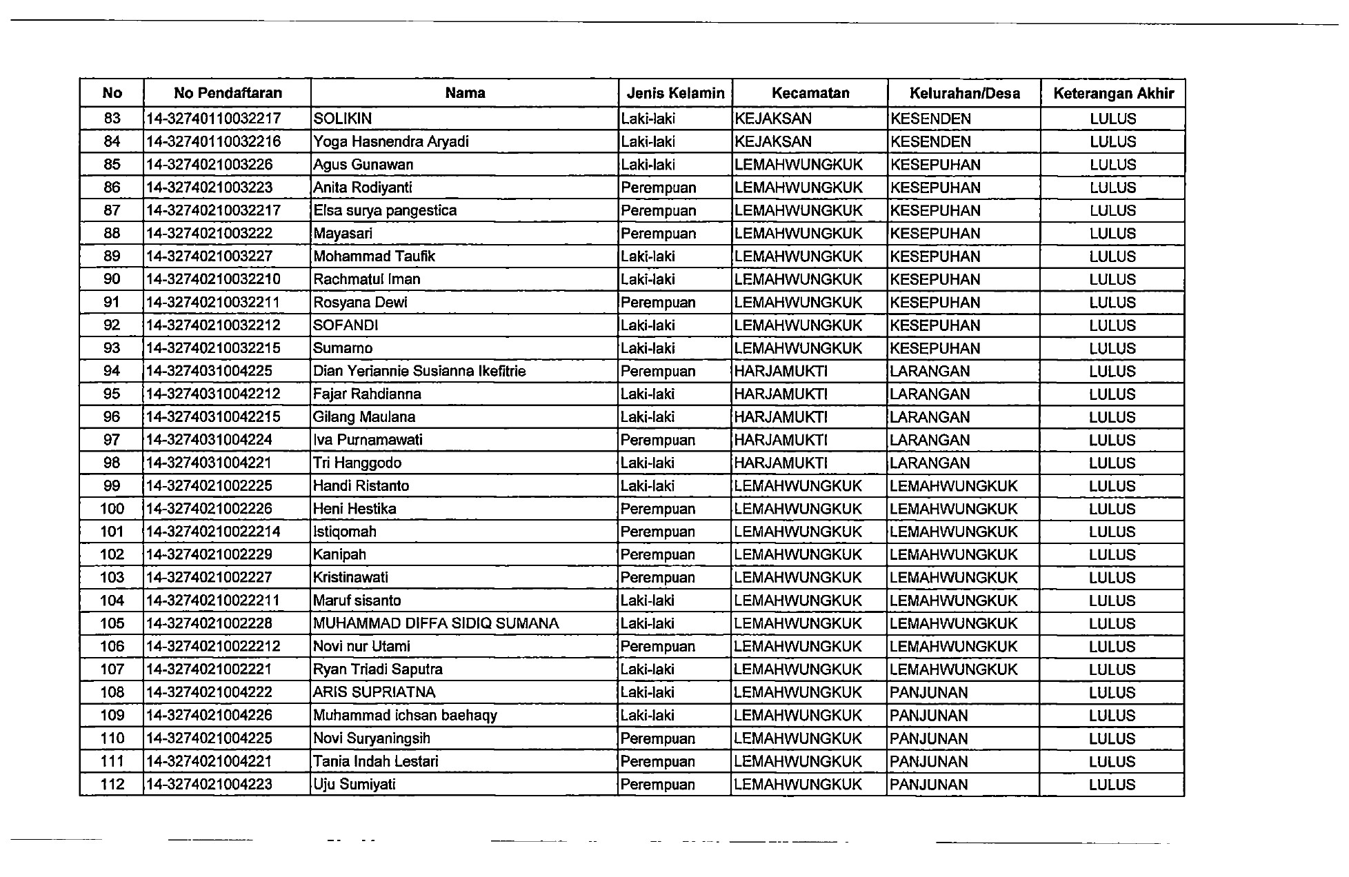
Penetapan Hasil Seleksi Tertulis dan Jadwal Wawancara Panitia Pemungutan Suara Pemilihan Umum Tahun 2024
Penetapan Hasil Seleksi Tertulis dan Jadwal Wawancara Panitia Pemungutan Suara Pemilihan Umum Tahun 2024








Bagikan:
Dilihat 514 Kali.